TPMS Heat Sink Design Trade Study — Gyroid vs Schwarz-D (1-CPU & 2-CPU) | MTH450 image

TPMS Heat Sink Design Trade Study — Gyroid vs Schwarz-D (1-CPU & 2-CPU) | MTH450

Project Overview

TPMS lattice heat sink trade study comparing Gyroid and Schwarz-D for 1-CPU and 2-CPU thermal loads. Built analytical thermal-resistance networks + MATLAB sizing model and validated with Fusion 360 flow/thermal simulations under natural vs forced convection.

Skills Used

Heat Transfer Thermal Resistance Networks Thermal Design Fusion 360 Simulation (Thermal/Flow) MATLAB CAD Modeling Engineering Trade Studies

Overview

This project evaluates TPMS (Triply Periodic Minimal Surface) lattice heat sinks—Gyroid and Schwarz-D—for electronics cooling under two operating configurations:

  • 1-CPU: single heat source
  • 2-CPU: dual heat sources sharing the same copper/spreader → heat sink path

I used an industry-style workflow: 1) First-pass design with thermal resistance networks and a MATLAB model
2) Validation with Fusion 360 thermal + flow simulations (natural vs forced convection)
3) Decision using clear Pass / Fail outcomes


Project Files


Design Logic

At a high level, the temperature rise is governed by:

  • Conduction path: junction → chip/package → TIM → copper/spreader → TIM → heat sink base → lattice body
  • Convection path: lattice surface → ambient air (this becomes the bottleneck without a fan)

Instead of relying only on CFD visuals, the resistance network makes the dominant limiter obvious:

  • with low airflowR_fin,conv dominates → temperatures explode
  • with forced airflow → convection improves → lattice geometry and effective surface area become meaningful

The thermal budget is set by a maximum allowed junction temperature:

\[T_{j,max} = 85^\circ C,\quad T_{amb} = 35^\circ C \Rightarrow \Delta T_{budget} = 50^\circ C\]

A scenario is marked:

  • Pass if max component temperature stays within the limit
  • Fail if it exceeds the limit

Thermal Resistance Networks (Correct topologies)

1-CPU Network (series path: $T_j \rightarrow T_{ambient}$)

T_j T_ambient R_chip R_TIM_CPU R_Copper R_TIM_HS R_HS R_fin,conv

Network meaning (1-CPU): all resistances are in series, so: \(T_j - T_{ambient} = Q \cdot \left(R_{chip}+R_{TIM,CPU}+R_{Copper}+R_{TIM,HS}+R_{HS}+R_{fin,conv}\right)\)

Note: $R_{fin,conv}$ is the convection resistance from fin/lattice surface to ambient.


2-CPU Network (two sources merge into shared copper/spreader path)

2-CPU Tj1 Tj2 R_TIM,CPU R_TIM,CPU T_copper R_Copper R_TIM,HS R_HS T_surface R_fin,conv T_amb

Network meaning (2-CPU):

  • each CPU has its own local interface resistance into the copper/spreader region
  • both heat flows then share the downstream path (R_Copper → R_TIM,HS → R_HS → R_fin,conv → ambient)
    This coupling is why 2-CPU is the real stress test.

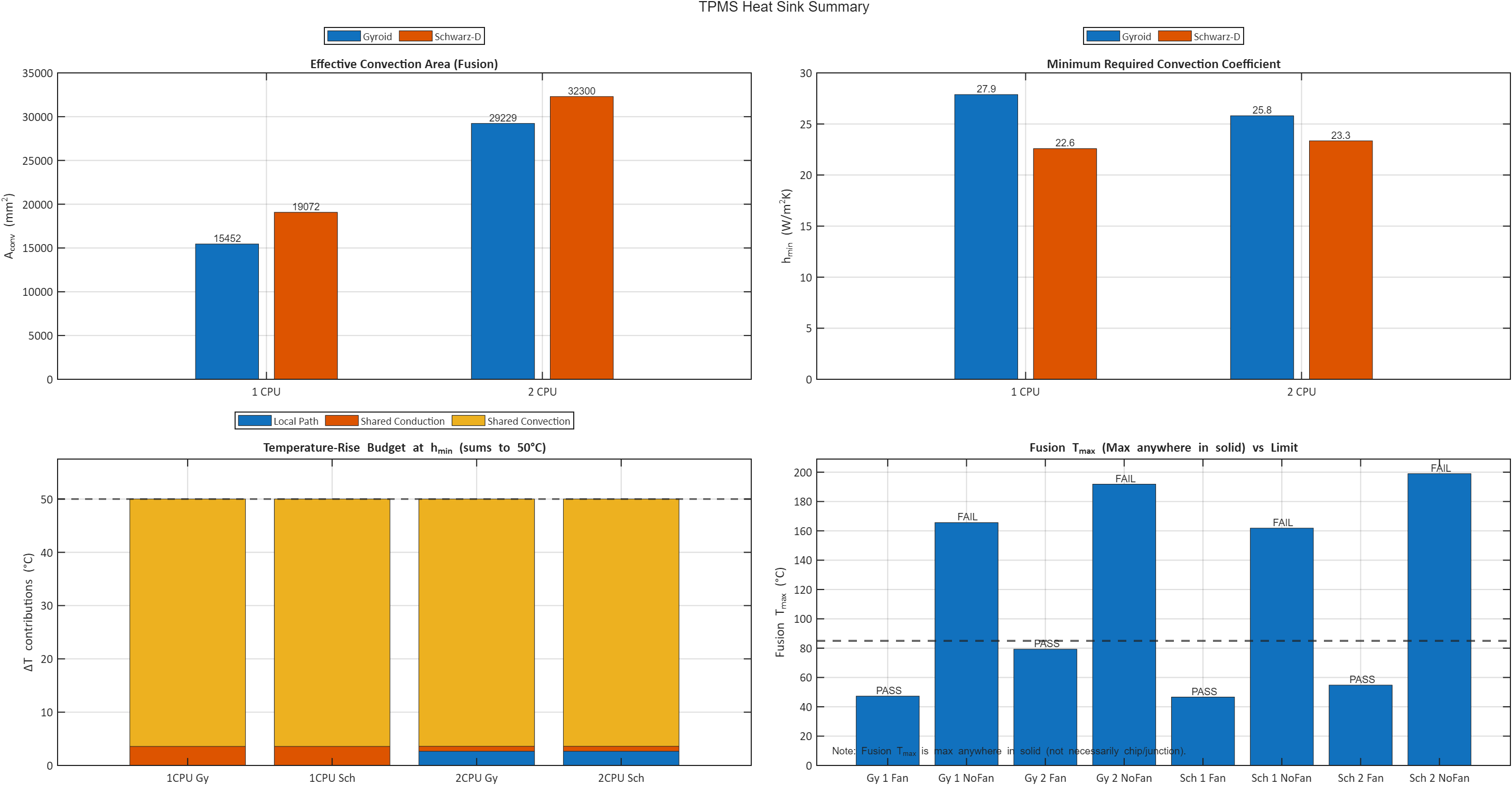
Analytical Summary (from the MATLAB sizing model)

The MATLAB model uses the above networks with:

  • effective convection area (from CAD)
  • conduction resistances (layer thickness, k, contact areas)
  • and solves for the minimum required convection coefficient (h_{min}) to remain within the allowed temperature rise budget.

This is what the summary dashboard captures:


Fusion 360 Validation (Flow + Thermal)

I validated the trade study using Fusion 360 by comparing:

  • airflow penetration / flow-lines
  • maximum component temperature (peak anywhere in the solid)

Natural Convection (No Fan) — Fail cases

Low airflow (≈0.25–0.28 m/s) makes convection the limiting resistance (R_fin,conv dominates). Both geometries overheat.

Gyroid — 1 CPU (No Fan): Fail
(0.25 m/s, 165.614°C)

Schwarz-D — 1 CPU (No Fan): Fail
(0.27 m/s, 161.853°C)

Gyroid — 2 CPU (No Fan): Fail
(0.28 m/s, 191.817°C)

Schwarz-D — 2 CPU (No Fan): Fail
(0.26 m/s, 199.002°C)


Forced Convection (With Fan) — Pass cases

With forced airflow, convection resistance drops significantly and the lattices become viable heat sinks. Here the geometry differences show up as thermal margin.

Gyroid — 1 CPU (With Fan): Pass
(20.20 m/s, 47.274°C)

Schwarz-D — 1 CPU (With Fan): Pass
(24.03 m/s, 46.629°C)

Gyroid — 2 CPU (With Fan): Pass
(19.16 m/s, 79.316°C)

Schwarz-D — 2 CPU (With Fan): Pass
(19.15 m/s, 54.811°C)


Results Table

Scenario Geometry Cooling Max Air Velocity (m/s) Max Component Temp (°C) Result
1 CPUGyroidNo Fan0.25165.614Fail
1 CPUGyroidWith Fan20.2047.274Pass
1 CPUSchwarz-DNo Fan0.27161.853Fail
1 CPUSchwarz-DWith Fan24.0346.629Pass
2 CPUGyroidNo Fan0.28191.817Fail
2 CPUGyroidWith Fan19.1679.316Pass
2 CPUSchwarz-DNo Fan0.26199.002Fail
2 CPUSchwarz-DWith Fan19.1554.811Pass

Conclusions (Engineering Decision)

  • Without forced convection: both lattices fail in both 1-CPU and 2-CPU configurations due to convection dominance (low airflow).
  • With forced convection: both lattices pass for 1-CPU, but the 2-CPU case differentiates designs:
    • Gyroid passes with smaller thermal margin (79.316°C)
    • Schwarz-D passes with large margin (54.811°C)

Final recommendation: Schwarz-D + forced convection is the most robust configuration, especially under dual-source loading.


What I personally did (ownership)

  • Built the correct 1-CPU and 2-CPU thermal resistance networks and translated them into a solvable MATLAB model.
  • Used CAD-derived effective areas to compute convection sizing (required (h) to meet the temperature rise budget).
  • Ran and interpreted Fusion 360 flow + thermal results and tied the outcomes back to the resistance network physics.
  • Produced a decision-ready trade study with clear Pass/Fail outcomes and supporting evidence.